Skip to content Skip to sidebar Skip to footer

Let Us Consider Again the Investment Data From Hauck Financial Services

Hauck Financial Services has a number of passive, purchase-and-hold clients.

Hauck Financial Services has a number of passive, buy-and-hold clients. For these clients,
Hauck offers an investment account whereby clients agree to put their money into a portfolio of mutual funds that is rebalanced once a year. When the rebalancing occurs, Hauck determines the mix of common funds in each investor€™southward portfolio by solving an extension of the Markowitz portfolio model that incorporates transaction costs. Investors are charged a small transaction cost for the annual rebalancing of their portfolio. For simplicity, assume the following:
€¢ At the beginning of the time period (in this example one year), the portfolio is rebalanced past buying and selling Hauck mutual funds.
€¢ The transaction costs associated with buying and selling mutual funds are paid at the beginning of the period when the portfolio is rebalanced, which, in effect, reduces the amount of coin available to reinvest.
€¢ No farther transactions are made until the end of the time period, at which point the new value of the portfolio is observed.
€¢ The transaction cost is a linear function of the dollar corporeality of mutual funds bought or sold.
Jean Delgado is one of Hauck€™southward buy-and-hold clients. We briefly depict the model every bit it is used by Hauck for rebalancing her portfolio. The mix of mutual funds that are being considered for her portfolio are a foreign stock fund (FS), an intermediate-term bond fund (IB), a large-cap growth fund (LG), a large-cap value fund (LV), a modest-cap growth fund
(SG), and a pocket-sized-cap value fund (SV). In the traditional Markowitz model, the variables are usually interpreted as the proportion of the portfolio invested in the nugget represented by the variable. For example, FS is the proportion of the portfolio invested in the foreign stock fund. Withal, it is as right to interpret FS as the dollar amount invested in the strange stock fund. And so FS = 25,000 implies $25,000 is invested in the foreign stock fund.
Based on these assumptions, the initial portfolio value must equal the corporeality of money spent on transaction costs plus the corporeality invested in all the assets later rebalancing; that is,
Initial portfolio value = amount invested in all avails after rebalancing
i transaction costs
The extension of the Markowitz model that Hauck uses for rebalancing portfolios requires
a balance constraint for each mutual fund. This remainder constraint is
Corporeality invested in fund i = initial holding of fund i
one amount of fund i purchased 2 amount of fund i sold
Using this balance constraint requires iii boosted variables for each fund: one for the amount invested prior to rebalancing, 1 for the amount sold, and one for the amount purchased. For case, the balance constraint for the strange stock fund is:
FS = FS_START i FS_BUY ii FS_SELL
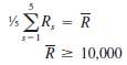
Jean Delgado has $100,000 in her account prior to the annual rebalancing, and she has specified a minimum acceptable return of ten percentage. Hauck plans to utilise the following model to rebalance Ms. Delgado€™southward portfolio. The consummate model with transaction costs is

Hauck Financial Services has a number of passive, buy-and-hold clients.

due south.t.
0.1006FS + 0.1764IB + 0.3241LG + 0.3236LV + 0.3344SG + 0.2456SV = R1
0.1312FS + three.2500IB + 0.1871LG + 0.2061LV + 0.1940SG + 0.2532SV = R2
0.1347FS + 0.0751IB + 0.3328LG + 0.1293LV + 0.385SG two 0.0670SV = R3
0.4542FS 2 0.0133IB + 0.4146LG + 0.0706LV + 0.5868SG + 0.0543SV = R4
20.2193FS + 0.0736IB €" 0.2326LG €" 0.0537LV €" 0.0902SG + 0.1731SV = R5

Hauck Financial Services has a number of passive, buy-and-hold clients.

FS + IB + LG + LV + SG + SV + TRANS_COST = 100,000
FS_START + FS_BUY €" FS_SELL = FS
IB_START + IB_BUY €" IB_SELL = IB
LG_START + LG_BUY €" LG_SELL = LG
LV_START + LV_BUY €" LV_SELL = LV
SG_START + SG_BUY €" SG_SELL = SG
SV_START + SV_BUY €" SV_SELL = SV
TRANS_FEE * (FS_BUY + FS_SELL + IB_BUY + IB_SELL 1
LG_BUY + LG_SELL + LV_BUY + LV_SELL + SG_BUY 1
SG_SELL + SV_BUY + SV_SELL) = TRANS_COST
FS_START = 10,000
IB_START = 10,000
LG_START = ten,000
LV_START = 40,000
SG_START = 10,000
SV_START = 20,000
TRANS_FEE = 0.01
FS, IB, LG, LV, SG, SV $ 0

Common Funds
Common funds are like a pool of funds gathered by different small investors that have simalar investment perspective well-nigh returns on their investments. These funds are managed by professional investment managers who act smartly on behalf of the...
Portfolio
A portfolio is a grouping of fiscal assets such equally stocks, bonds, commodities, currencies and greenbacks equivalents, as well as their fund counterparts, including mutual, substitution-traded and closed funds. A portfolio can also consist of non-publicly...

Hauck Financial Services has a number of passive, purchase-and-concur clients.

Hauck Fiscal Services has a number of passive, buy-and-concur clients. For these clients,
Hauck offers an investment account whereby clients agree to put their coin into a portfolio of common funds that is rebalanced once a year. When the rebalancing occurs, Hauck determines the mix of mutual funds in each investor€™s portfolio past solving an extension of the Markowitz portfolio model that incorporates transaction costs. Investors are charged a modest transaction toll for the annual rebalancing of their portfolio. For simplicity, assume the following:
€¢ At the beginning of the time catamenia (in this case ane twelvemonth), the portfolio is rebalanced by buying and selling Hauck mutual funds.
€¢ The transaction costs associated with ownership and selling mutual funds are paid at the first of the period when the portfolio is rebalanced, which, in consequence, reduces the amount of money available to reinvest.
€¢ No further transactions are made until the end of the time period, at which indicate the new value of the portfolio is observed.
€¢ The transaction toll is a linear office of the dollar corporeality of mutual funds bought or sold.
Jean Delgado is one of Hauck€™s buy-and-concord clients. We briefly describe the model as it is used by Hauck for rebalancing her portfolio. The mix of mutual funds that are being considered for her portfolio are a foreign stock fund (FS), an intermediate-term bail fund (IB), a large-cap growth fund (LG), a large-cap value fund (LV), a small-cap growth fund
(SG), and a small-cap value fund (SV). In the traditional Markowitz model, the variables are usually interpreted as the proportion of the portfolio invested in the asset represented past the variable. For example, FS is the proportion of the portfolio invested in the foreign stock fund. However, it is equally correct to translate FS equally the dollar amount invested in the strange stock fund. So FS = 25,000 implies $25,000 is invested in the foreign stock fund.
Based on these assumptions, the initial portfolio value must equal the amount of money spent on transaction costs plus the amount invested in all the assets after rebalancing; that is,
Initial portfolio value = amount invested in all assets after rebalancing
1 transaction costs
The extension of the Markowitz model that Hauck uses for rebalancing portfolios requires
a balance constraint for each mutual fund. This balance constraint is
Amount invested in fund i = initial property of fund i
1 amount of fund i purchased 2 corporeality of fund i sold
Using this residual constraint requires three additional variables for each fund: 1 for the amount invested prior to rebalancing, i for the corporeality sold, and one for the amount purchased. For instance, the balance constraint for the foreign stock fund is:
FS = FS_START ane FS_BUY two FS_SELL
Jean Delgado has $100,000 in her account prior to the annual rebalancing, and she has specified a minimum acceptable return of 10 percentage. Hauck plans to use the following model to rebalance Ms. Delgado€™southward portfolio. The complete model with transaction costs is

Hauck Financial Services has a number of passive, buy-and-hold clients.

s.t.
0.1006FS + 0.1764IB + 0.3241LG + 0.3236LV + 0.3344SG + 0.2456SV = R1
0.1312FS + three.2500IB + 0.1871LG + 0.2061LV + 0.1940SG + 0.2532SV = R2
0.1347FS + 0.0751IB + 0.3328LG + 0.1293LV + 0.385SG 2 0.0670SV = R3
0.4542FS 2 0.0133IB + 0.4146LG + 0.0706LV + 0.5868SG + 0.0543SV = R4
20.2193FS + 0.0736IB €" 0.2326LG €" 0.0537LV €" 0.0902SG + 0.1731SV = R5

Hauck Financial Services has a number of passive, buy-and-hold clients.

FS + IB + LG + LV + SG + SV + TRANS_COST = 100,000
FS_START + FS_BUY €" FS_SELL = FS
IB_START + IB_BUY €" IB_SELL = IB
LG_START + LG_BUY €" LG_SELL = LG
LV_START + LV_BUY €" LV_SELL = LV
SG_START + SG_BUY €" SG_SELL = SG
SV_START + SV_BUY €" SV_SELL = SV
TRANS_FEE * (FS_BUY + FS_SELL + IB_BUY + IB_SELL i
LG_BUY + LG_SELL + LV_BUY + LV_SELL + SG_BUY 1
SG_SELL + SV_BUY + SV_SELL) = TRANS_COST
FS_START = 10,000
IB_START = ten,000
LG_START = 10,000
LV_START = forty,000
SG_START = x,000
SV_START = 20,000
TRANS_FEE = 0.01
FS, IB, LG, LV, SG, SV $ 0

sullivanscondlefory.blogspot.com

Source: https://www.solutioninn.com/hauck-financial-services-has-a-number-of-passive-buyandhold-clients

Post a Comment for "Let Us Consider Again the Investment Data From Hauck Financial Services"